philipp ostermaier
Home
About
Acoustics
ML
Music
TUB
Arch
Sign in
Subscribe
architecture, acoustics, machine learning and music
Subscribe below to receive my latest posts directly in your inbox
[email protected]
Subscribe
FDTD for Room Acoustics, Part 2: Implementing the 2D FDTD Scheme in Dr.Jit
FDTD for Room Acoustics, Part 1: Deriving the 2D Wave Equation Solver
Why Constants Break PDEs (and How Poincaré Fixes It)
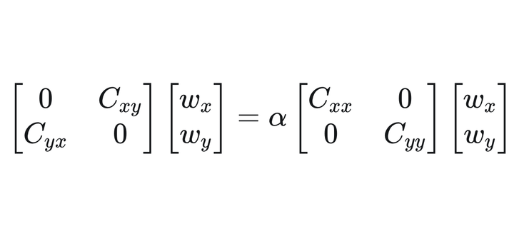
CCA - Canonical Correlation Analysis
How a 19th Century Russian Mathematician Taught Us to Predict What Comes Next
From Linear Regression to Polynomial Ridge Regression